Loading...

理学療法士問題表示

理学療法士国家試験

大分類

義肢・装具

20問表示中
広告
99
理学療法士専門問題 - 第37回 午前
重要度:最重要
科目:
疾患と歩行指導との組合せで適切でないのはどれか。  
1
痙直型両麻痺-ロフストランド杖
2
脊髄小脳変性症-松葉杖
3
デュシェンヌ型筋ジストロフィー-バネ付き長下肢装具
4
シャルコー・マリー・トゥース病-短下肢装具
5
慢性関節リウマチ-四輪型歩行器
24
理学療法士専門問題 - 第36回 午前
重要度:重要
科目:
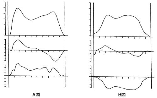
吸着式ソケット、安全膝、SACH足の骨格構造義足を装着した片側大腿切断者の床反力の所見を図に示す。誤っているのはどれか。 
NHG3wCvSaPyMgqvhkfKHU
1
A・B図の垂直分力では、第1のピークは踵接地期に生じる。
2
A・B図の垂直分力では、両ピーク間の谷の部分は立脚中期にみられる。
3
前後分力は最大制動力、最大駆動力ともにA図で大きい。
4
B図の側方分力の増大は外転歩行を示す。
5
A図が切断側、B図が健側である。
25
理学療法士専門問題 - 第36回 午前
重要度:最重要
科目:
装具の適応で誤っているのはどれか。  
bySqPqHkhubzSB8ALtcvZ
1
1
2
2
3
3
4
4
5
5
26
理学療法士専門問題 - 第36回 午前
重要度:標準
科目:
図の膝継手の特徴で誤っているのはどれか。 
dNuiwzxokf-AopCJhAU4J
1
回転中心はリンクの位置によって決まる。
2
回転中心は屈曲が増大すると上方になる。
3
リンクは4つある。
4
大腿長断端義足に処方される。
5
立脚相の膝の随意的コントロールがしやすい。
80
理学療法士専門問題 - 第36回 午前
重要度:最重要
科目:
疾患と装具との組合せで適切でないのはどれか。  
1
斜 頸-ソーミー(SOMI)型装具
2
脊柱側弯症-ミルウォーキー型装具
3
下部腰椎カリエス-ナイト型装具
4
脊椎圧迫骨折-ジュエット型装具
5
腰椎すべり症-ウイリアムス型装具
広告
81
理学療法士専門問題 - 第36回 午前
重要度:最重要
科目:
スプリントと末梢神経障害との組合せで正しいのはどれか。  
1
コックアップスプリント - 正中神経麻痺
2
尺側偏位防止スプリント - 尺骨神経麻痺
3
ナックルベンダー - 橈骨神経麻痺
4
長対立装具 - 尺骨神経麻痺
5
短対立装具 - 正中神経麻痺
83
理学療法士専門問題 - 第36回 午前
重要度:最重要
科目:
疾患と歩行補助具との組合せで適切でないのはどれか。  
1
脳卒中片麻痺-T字杖
2
脊髄小脳変性症-交互型歩行器
3
痙直型両麻痺-ロフストランド杖
4
慢性関節リウマチ-プラットフォーム杖
5
パーキンソン病-四点杖
84
理学療法士専門問題 - 第36回 午前
重要度:最重要
科目:
大腿義足の膝継手が原因でない異常歩行はどれか。  
1
膝折れ
2
外転歩行
3
内側ホイップ
4
けりあげ異常
5
膝のインパクト
85
理学療法士専門問題 - 第36回 午前
重要度:最重要
科目:
大腿義足の歩行で、外側ホイップが起こる原因として誤っているのはどれか。  
1
膝継手が内旋している。
2
トウブレークが内側に向いている。
3
断端の皮下脂肪が多く軟らかい。
4
大腿部を内側に振り出す。
5
義足が長すぎる。
86
理学療法士専門問題 - 第36回 午前
重要度:標準
科目:
下肢切断者の切断術後早期の断端管理として適切でないのはどれか。  
1
弾性包帯は断端末梢部ほど強く巻く。
2
弾性包帯は1日に4、5回巻きかえる。
3
睡眠時は断端を挙上する。
4
大腿切断者には腹臥位を1日数回とらせる。
5
車椅子座位で過ごす時間は短時間とする。
広告
26
理学療法士専門問題 - 第35回 午前
重要度:重要
科目:
図に示す大腿義足ソケットの特徴でないのはどれか。 
5m_kIjkb5D_KOFcYO7aj5
1
内外径が前後径より短い。
2
側方への安定性がよい。
3
坐骨結節で体重を支持する。
4
断端が内転位に保持されやすい。
5
会陰部の疼痛が少ない。
27
理学療法士専門問題 - 第35回 午前
重要度:最重要
科目:
右大腿切断者の訓練で誤っているのはどれか。  
T2GN7aCD8lw_iwdGfvr_z
1
1
2
2
3
3
4
4
5
5
28
理学療法士専門問題 - 第35回 午前
重要度:重要
科目:
義足ソケットで誤っているのはどれか。 
pFVAMoSM7aqPmVqeKvBmu
1
ダイアゴナル
2
カナディアン
3
PTB
4
KBM
5
TSB
29
理学療法士専門問題 - 第35回 午前
重要度:重要
科目:
右PTB下腿義足の陽性モデルからソケットを作製する際、除圧が必要な部位として誤っているのはどれか。 
WkhOajEyO2tJubFvr8qTp
1
A
2
B
3
C
4
D
5
E
83
理学療法士専門問題 - 第35回 午前
重要度:最重要
科目:
下腿義足歩行で立脚後期に膝の急激な屈曲を生じる原因はどれか。  
1
ソケットの内転角が不足している。
2
靴のヒールが低すぎる。
3
足部が過度に底屈位にある。
4
ソケットが足部に対して過度に前方に位置している。
5
足部のトウブレークまでの長さが長すぎる。
広告
84
理学療法士専門問題 - 第35回 午前
重要度:最重要
科目:
大腿切断者の異常歩行とその原因との組合せで誤っているのはどれか。  
1
フットスラップ-後方バンパーが軟らかすぎる。
2
踵接地時足部回旋-後方バンパーが硬すぎる。
3
内側ホイップ-膝軸が過度に内旋している。
4
体幹の側屈-初期内転角が不足している。
5
分回し歩行-ソケットの内壁が高い。
85
理学療法士専門問題 - 第35回 午前
重要度:最重要
科目:
大腿義足歩行で立脚相の膝の安定性に関与しないのはどれか。  
1
ソケット初期内転角
2
後方バンパーの硬さ
3
トウブレークの位置
4
股関節伸筋
5
断端長
86
理学療法士専門問題 - 第35回 午前
重要度:標準
科目:
靴べら式プラスチック短下肢装具で皮膚の圧迫を生じにくい部位はどれか。  
1
内果
2
外果
3
距骨
4
舟状骨
5
第5中足骨頭
87
理学療法士専門問題 - 第35回 午前
重要度:重要
科目:
膝折れ防止機能がないのはどれか。  
1
オフセット膝継手付長下肢装具
2
背屈制限足継手付短下肢装具
3
スウェーデン式膝装具
4
リングロック膝継手付長下肢装具
5
ダイアルロック膝継手付長下肢装具
88
理学療法士専門問題 - 第35回 午前
重要度:最重要
科目:
靴の補正と適応との組合せで正しいのはどれか。  
1
逆トーマスヒール-内反尖足
2
SACHヒール-扁平足
3
内側ソールウェッジ-内反膝
4
外側の長い月形しん-外反扁平足
5
メタタルザルバー-踵部の免荷
広告